巅峰国际

当前位置: 巅峰国际 >> 传媒扫描

传媒扫描

【新华社】量子多体物理研究取得新进展 给自旋电荷分离现象优美的数学解释

来源:     时间:2020-11-19

      新闻链接:http://xhpfmapi.zhongguowangshi.com/vh512/share/9548982?channel=weixin

  新华社客户端武汉11月18日电(记者谭元斌)由中美科研人员组成的联合研究团队,在量子多体物理研究中取得重要进展,不仅从数学上对自旋电荷分离现象进行了精确描述和分析,而且给出了顺利获得实验验证这一现象的具体方案。相关研究成果近期发表于物理学领域国际知名期刊《物理评论快报》。

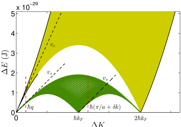
  一维Yang-Gaudin费米气体的电荷和自旋激发谱。黄色区是电荷自由度中的粒子-空穴陆续在激发谱,绿色区域是著名的双自旋子的分数化激发谱。在小动量激发时,电荷与自旋激发都具有声子色散关系,但以不同的群速度传播,展现了电荷-自旋分离现象的本质。 

  中国科研实验室精密测量科学与技术创新研究院、北京计算科学研究中心、美国莱斯大学的学者合作召开了此项研究。他们顺利获得研究量子统计物理中Yang-Gaudin模型的精确解,揭示了自旋电荷分离现象以及非相干自旋液体的微观机制。

  自旋电荷分离是一维量子体系所独有的多体物理现象。这种现象指的是处于一维状态的量子体系在低能激发时会分裂成两种准粒子,一种携带自旋,一种携带电荷。对这种现象进行研究已有40多年的历史,但是人们对该现象尚缺乏深刻的理解。该团队严格证明,当激发涉及反向散射或在临界区受到热涨落的强烈干扰时,超冷费米原子体系的自旋电荷分离的朝永-拉亭戈液体特性就会失效,在临界区将涌现出非相干的拉亭戈液体区。

  比热临界相图。QC代表量子临界区,TLL代表朝永-拉亭戈液体,COR是非相干拉亭戈液体区。在非相干拉亭戈液体区,电荷自由度是相干的,以声速传播,而自旋自由度变成自由的气体形式,不再具有声速。 

  该团队证明了一维超冷费米原子体系的动力学结构因子不但可以用来观测自旋电荷分离的激发谱,而且可以用来验证朝永-拉亭戈液体动力学关联函数。他们据此提出了实验验证自旋电荷分离现象的具体方案。

  专家认为,该团队的研究结果给予了对自旋电荷分离、量子临界性和非相干拉亭戈液体的数学解释,给出了量子多体物理的一个优美范例。

  编辑:陈辉